En este tema vamos a tratar como realizar
las sumas y restas de fracciones, iniciaremos con lo más
sencillo: “Fracciones con el mismo denominador”, donde solo basta con sumar o restar
los numeradores conservando el mismo denominador, veamos los siguientes
ejemplos:
Ejemplo #1:
Ejemplo #2:
Ejemplo #3:
Ejemplo #4:
Ejemplo #5:
Ejemplo #6:
(*)Ejemplo #7:
(*)Ejemplo #8:
(*) En los Ejemplos 7 y 8,
los denominadores se tuvieron que
igualar al otro denominador, para poder finalmente sumar o restar los
numeradores.
La siguiente liga te permite bajar el archivo practica "Fracciones Parte #3.1:
Tema I. Fracciones – Suma y Resta de
Fracciones
En esta sección trataremos fracciones
cuyos denominadores son diferentes, no son múltiplos uno del otro. Se aplican dos formas distintas: la 1ª.
Simplemente multiplicamos los numeradores y denominadores de cada fracción por
los denominadores de la fracción de a lado, y así obtener fracciones con
denominador igual, veamos algunos ejemplos:
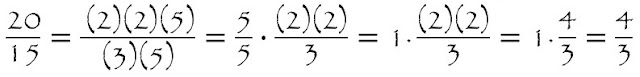
Ejemplo #1.
Ejemplo #2.
Ejemplo #3.
Ejemplo #4.
Ejemplo #5.
Tema I. Fracciones – Suma y Resta de
Fracciones
Cuando los denominadores de las
fracciones involucradas son números grandes y poseen un Mínimo Común Múltiplo (MCM), esta circunstancia hace la 2ª. Forma para realizar operaciones con fracciones,
empleando el MCM, veamos los siguientes ejemplos:
Ejemplo #1.
Calculamos el MCM (mínimo común múltiplo):
Iniciamos con 2, si no tienen mitad, entonces
continuamos con 3, y así sucesivamente, cuando algún número no es divisible,
sólo lo reescribimos en el siguiente
renglón, al llegar a la unidad en ambos, hemos terminado. Multiplicamos los
factores obtenidos y listo, se tiene el MCM.
La
siguiente acción es dividir el MCM por cada denominador:
Ejemplo #2.
Calculamos el MCM (mínimo común múltiplo):
finalmente:
Liga para que accedas al archivo con la practica de esta tercera parte de Fracciones:
No olvides desbloquear el archivo, Windows bloquea automáticamente los archivos que contienen macros, que es mi caso, es muy "delicado" el Windows, pero en fin, recuerda: botón derecho al archivo y de la ventana "Propiedades" en la parte inferior derecha habilita la opción "Desbloquear", y en seguida clic al botón "Aplicar" y después clic al botón "Aceptar" y listo!!!!!, sin embargo si apareciera una ventana advirtiendote que hay riesgo en este archivo emplea la opciòn numero 2, y es todo.
Terminamos la Parte #3, nos vemos en la próxima...
















































